Clocinizine
![]() | |
| Clinical data | |
|---|---|
| Trade names | Senioral (with PPA) |
| AHFS/Drugs.com | International Drug Names |
| Routes of administration | By mouth |
| ATC code |
|
| Identifiers | |
IUPAC name
| |
| CAS Number | |
| PubChem CID | |
| ChemSpider | |
| UNII | |
| ChEMBL | |
| Chemical and physical data | |
| Formula | C26H27ClN2 |
| Molar mass | 402.97 g·mol−1 |
| 3D model (JSmol) | |
SMILES
| |
Clocinizine is a first-generation antihistamine of the diphenylmethylpiperazine class. It is marketed in Spain in combination with phenylpropanolamine under the brand name Senioral.[1]
Synthesis
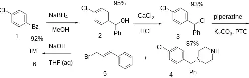
The reduction of 4-Chlorobenzophenone [134-85-0] (1) with NBH gives 4-Chlorobenzhydrol [119-56-2] (2). Halogenation of the alcohol in muriatic acid afforded 4-Chlorobenzhydryl chloride [134-83-8] (3). Alkylation with one equivalent of piperazine gives 1-(4-Chlorobenzhydryl)piperazine [303-26-4] (4). Alkylation of the remaining nitrogen with Cinnamyl Bromide [4392-24-9] (5) completed the synthesis of Clocinizine (6).
References
- ↑ Fookes C (September 2022). "List of Common Antihistamines + Uses & Side Effects". Drugs.com.
- ↑ Venkat Narsaiah A, Narsimha P (April 2012). "Efficient synthesis of antihistamines clocinizine and chlorcyclizine". Medicinal Chemistry Research. 21 (4): 538–541. doi:10.1007/s00044-011-9556-x. S2CID 253636495.
- ↑ DE 2220242, Kato H, Kurata S, "Antiarrhythmic piperazine derivs prepn - from benzhydrylpiperazine cinnamaldehyde by leuckart reaction", issued 1972, assigned to Hokuriku Pharmaceutical
This article is issued from Wmcloud. The text is licensed under Creative Commons - Attribution - Sharealike. Additional terms may apply for the media files.

