tl;dr: Cold dry air has a substantial effect on horsepower. This can be confirmed through experimentation on any modern car.
I can think of two scientific reasons as to why this may be:
Increased air density
Decreased humidity
Yes and yes. You're already most of the way there.
Let's take a quick trip to simplified theoretical model land:
- The engine runs on oxygen molecules.
- Density of the air determines how many oxygen molecules we have to work with.
- Ergo, we want to maximize the density of the air.
In your example, we have two knobs that we can turn on our theoretical model: temperature and humidity. That second becomes confusing quickly when we realize that humidity affects the heat capacity of the air. That's a perplexing concept (heat, temperature, aren't they the same?!) until you realize that specific heat is almost like mass: the more specific heat a thing has, the harder it is to change its temperature.
Practical example: turn on a gas stove to max. Put your hand directly over the burner. Note the near instant first degree burns: the air over the grill heats up very fast. Put a five gallon pot full of water on the same burner (hey, it takes a lot of water to make beer!). Put your hand in the pot all the way down to the bottom (not touching). Note that you're the same distance that you were from the burner but no burns! The water has a higher specific heat and is much more sluggish in changing temperatures.
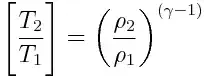
So, that was fun. Why do we care? We care because, if you're trying to maximize density, you're starting with this ideal gas law equation:

Where
- T = temperature
- rho = density
- gamma = the ratio of specific heats (constant pressure / constant volume)
... except that you suddenly realize that this is no longer an ideal gas: gamma is not constant since you're changing the humidity. Check the first two lines of the table of specific heat entries for two examples for air that are similar to the ones that you suggest. The constant pressure heat capacity jumps quite a lot between the two lines, largely due to the increase in humidity: 40.85% humidity is cited as being 1.16% water vapor content. If you look further down that chart, you see what we expected: the specific heat of water is much higher than air, all of which eventually brings us back to the fact that higher humidity air results in lower useful density of oxygen for our engine to work with.
... deep breath ...
So what? Why don't highly tuned engines break when the air gets cold and dry? Why can I drive my turbo car at sea level in the winter and in the mountains (well, we call them mountains) in the humid summer?
The short answer is that the engine computer is pretty smart. It isn't living in theoretical model land. It has quite a few more sensors measuring plenty of things that I've ignored above. As a result, it isn't trying to solve for the correct values to match the model: it's setting tuning parameters on the engine and then monitoring the results. Consequently, it makes an effective numerical approximation of all of the above that:
A. Makes your car run pretty well, providing you with the best possible mileage and power at its disposal.
B. Doesn't blow up on a winter day.