
Acyl azides are carboxylic acid derivatives with the general formula RCON3. These compounds, which are a subclass of organic azides, are generally colorless.[1]
Preparation
Typically acyl azides are generated under conditions where they rearrange to the isocyanate.[1]
Alkyl or aryl acyl chlorides react with sodium azide to give acyl azides.[2][3]
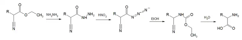
The second major route to azides is from the acyl hydrazides with nitrous acid.[1]
Acyl azides have also been synthesized from various carboxylic acids and sodium azide in presence of triphenylphosphine and trichloroacetonitrile catalysts in excellent yields at mild conditions.[4] Another route starts with aliphatic and aromatic aldehydes reacting with iodine azide which is formed from sodium azide and iodine monochloride in acetonitrile.[5]
Uses
On Curtius rearrangement, acyl azides yield isocyanates.[6][7]

Acyl azides are also formed in Darapsky degradation,[8][9][10]

Historical references
- Curtius, Th. (1890). "Ueber Stickstoffwasserstoffsäure (Azoimid) N3H". Ber. (in German). 23 (2): 3023–3033. doi:10.1002/cber.189002302232.
- Curtius, Th. (1894). "20. Hydrazide und Azide organischer Säuren I. Abhandlung". J. Prakt. Chem. (in German). 50 (1): 275–294. doi:10.1002/prac.18940500125.
- Darapsky, August (1936). "Darstellung von α-Aminosäuren aus Alkyl-cyanessigsäuren". J. Prakt. Chem. (in German). 146 (8–12): 250–267. doi:10.1002/prac.19361460806.
- Darapsky, August; Hillers, Dietrich (1915). "Über das Hydrazid der Cyanessigsäure, Isonitrosocyanessigsäure und Nitrocyanessigsäure". J. Prakt. Chem. (in German). 92 (1): 297–341. doi:10.1002/prac.19150920117.
References
- 1 2 3 Lwowski, Walter (1971). "Acyl azides". In Saul Patai (ed.). The Azido Group. PATAI'S Chemistry of Functional Groups. pp. 849–907. doi:10.1002/9780470771266.ch9. ISBN 9780470771679.
- ↑ Allen, C. F. H.; Bell, Alan (1944). "Undecyl isocyanate". Organic Syntheses. 24: 94. doi:10.15227/orgsyn.024.0094.
- ↑ Munch-Petersen, Jon (1953). "m-Nitrobenzazide (Benzoyl azide, m-nitro-)". Organic Syntheses. 33: 53. doi:10.15227/orgsyn.033.0053.
- ↑ Jang, Doo; Kim, Joong-Gon (2008). "Direct Synthesis of Acyl Azides from Carboxylic Acids by the Combination of Trichloroacetonitrile, Triphenylphosphine and Sodium Azide". Synlett. 2008 (13): 2072–2074. doi:10.1055/s-2008-1077979.
- ↑ Marinescu, Lavinia; Thinggaard, Jacob; Thomsen, Ib B.; Bols, Mikael (2003). "Radical Azidonation of Aldehydes". J. Org. Chem. 68 (24): 9453–9455. doi:10.1021/jo035163v. PMID 14629171.
- ↑ Smith, Peter A. S. (1946). "The Curtius reaction". Org. React. 3: 337–449. doi:10.1002/0471264180.or003.09. ISBN 0471264180.
- ↑ Scriven, Eric F. V.; Turnbull, Kenneth (1988). "Azides: Their preparation and synthetic uses". Chem. Rev. 88 (2): 297–368. doi:10.1021/cr00084a001.
- ↑ Gagnon, Paul E.; Boivin, Paul A.; Craig, Hugh M. (1951). "Synthesis of Amino Acids from Substituted Cyanoacetic Esters". Can. J. Chem. 29 (1): 70–75. doi:10.1139/v51-009.
- ↑ E. H. Rodd (1965). Chemistry of Carbon Compounds (2nd ed.). New York. p. 1157.
{{cite book}}: CS1 maint: location missing publisher (link) - ↑ Gagnon, Paul E.; Nadeau, Guy; Côté, Raymond (1952). "Synthesis of α-Amino Acids from Ethyl Cyanoacetate". Can. J. Chem. 30 (8): 592–597. doi:10.1139/v52-071.
