![]() | |
| Legal status | |
|---|---|
| Legal status |
|
| Identifiers | |
| |
| CAS Number | |
| PubChem CID | |
| ChemSpider | |
| UNII | |
| KEGG | |
| CompTox Dashboard (EPA) | |
| ECHA InfoCard | 100.230.839 |
| Chemical and physical data | |
| Formula | C22H36O2 |
| Molar mass | 332.528 g·mol−1 |
| 3D model (JSmol) | |
| |
| |
| | |
Cannabicyclohexanol (CCH, CP 47,497 dimethyloctyl homologue, (C8)-CP 47,497) is a cannabinoid receptor agonist drug, developed by Pfizer in 1979. On 19 January 2009, the University of Freiburg in Germany announced that an analog of CP 47,497 was the main active ingredient in the herbal incense product Spice, specifically the 1,1-dimethyloctyl homologue of CP 47,497, which is now known as cannabicyclohexanol.[2][3][4] The 1,1-dimethyloctyl homologue of CP 47,497 is in fact several times more potent than the parent compound,[5] which is somewhat unexpected as the 1,1-dimethylheptyl is the most potent substituent in classical cannabinoid compounds such as HU-210.[6]
Enantiomers
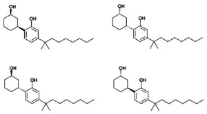
Cannabicyclohexanol has four enantiomers, which by analogy with other related cannabinoid compounds can be expected to have widely varying affinity for cannabinoid receptors, and consequently will show considerable variation in potency.[7][8] While the (-)-cis enantiomer (-)-cannabicyclohexanol discovered in the original Pfizer research is expected to be the most potent, all four enantiomers have been isolated from illicit samples of this compound, and the properties of the other three enantiomers have not been studied in detail. Most commonly cannabicyclohexanol is encountered as a diastereomeric mix of the two cis or two trans isomers in varying ratios, though more rarely a mixture of all four enantiomers has been seen, as well as reasonably enantiopure samples of the most active isomer.[9][10][11] Confusion can arise around the naming of these compounds as they can be viewed either as substituted phenols or substituted cyclohexanols, but this results in different numbering of the rings. Consequently, the active isomer can be named either 2-[(1S,3R)-3-hydroxycyclohexyl]-5-(2-methylnonan-2-yl)phenol or (1R,3S)-3-[2-hydroxy-4-(2-methylnonan-2-yl)phenyl]cyclohexan-1-ol.

Toxicity
(C8)-CP 47,497 has been shown to cause DNA damage and inflammation in directly exposed human cells in vitro,[12] though it is unclear if this has any relevance in vivo.
Legal status
Cannabicyclohexanol is not listed in the schedules set out by the United Nations' Single Convention on Narcotic Drugs from 1961 nor their Convention on Psychotropic Substances from 1971,[13] so the signatory countries to these international drug control treaties are not required by said treaties to control Cannabicyclohexanol.
United States
Cannabicyclohexanol is a Schedule I controlled substance in the USA.[14]
(g) Cannabimimetic agents. Unless specifically exempted or unless listed in another schedule, any material, compound, mixture, or preparation which contains any quantity of the following substances, or which contains their salts, isomers, and salts of isomers whenever the existence of such salts, isomers, and salts of isomers is possible within the specific chemical designation:
...
(2) 5-(1,1-dimethyloctyl)-2-[(1R,3S)-3-hydroxycyclohexyl]-phenol (cannabicyclohexanol or CP-47,497 C8-homolog) [Drug Code: 7298]
Vermont
Effective January 1, 2016, cannabicyclohexanol is a regulated drug in Vermont designated as a "Hallucinogenic Drug."[15]
“Hallucinogenic Drug” means those specified in Section 7 of this rule including stramonium, mescaline or peyote, lysergic acid diethylamide, and psilocybin, and all synthetic equivalents of chemicals contained in resinous extractives of Cannabis sativa, or any salts or derivatives or compounds of any preparations or mixtures thereof, and any other substance having a hallucinogenic effect in the regulations adopted by the Board of Health under 18 V.S.A.§ 4202.
...
• Cannabimimetic Agents means, collectively, any chemical that is a cannabinoid receptor type 1 (CB1) or cannabinoid receptor type 2 (CB2) agonist, or any salts, isomers, derivatives, or analogs of these chemicals. Structural classes include but are not limited to:
(a) 2-(3-hydroxycyclohexyl)phenol with substitution at the 5-position of the phenolic ring by alkyl or alkenyl, whether or not substituted on the cyclohexyl ring to any extent.
(b) 3-(1-naphthoyl)indole or 3-(1-naphthyl)indole with substitution at the nitrogen atom of the indole ring, whether or not further substituted on the indole ring to any extent, whether or not substituted on the naphthoyl or naphthyl ring to any extent.
(c) 3-(1-naphthoyl)pyrrole with substitution at the nitrogen atom of the pyrrole ring, whether or not further substituted in the pyrrole ring to any extent, whether or not substituted on the naphthoyl ring to any extent.
(d) 1-(1-naphthylmethyl)indene with substitution of the 3-position of the indene ring, whether or not further substituted in the indene ring to any extent, whether or not substituted on the naphthyl ring to any extent.
(e) 3-phenylacetylindole or 3-benzoylindole with substitution at the nitrogen atom of the indole ring, whether or not further substituted in the indole ring to any extent, whether or not substituted on the phenyl ring to any extent.
(f) indole- (2,2,3,3-tetramethylcyclopropyl)methanone, with substitution at the nitrogen atom of the indole ring, whether or not further substituted in the indole ring to any extent, whether or not substituted on the phenyl ring to any extent.
(g) N- adamantyl-indole-3-carboxamide, with substitution at the nitrogen atom of the indole ring, whether or not further substituted in the indole ring to any extent, whether or not substituted on the phenyl ring to any extent.
(h) (1,3-thiazol-2- ylidine)-2,2,3,3- tetramethylcyclopropane-1-carboxamide, with substitution to any extent at any position of the thiazolylidine ring.
...
• cannabicyclohexanol
See also
- Synthetic cannabinoids
- 1,2-Didehydro-3-oxo-THCO
- (C6)-CP 47,497
- (C7)-CP 47,497 also known as CP 47,497
- (C9)-CP 47,497
- JWH-138
- O-1871
References
- ↑ Cook M (28 February 2008). "Synthetic marijuana illegal as of Tuesday". The San Diego Union-Tribune. San Diego. Retrieved 25 July 2015.
- ↑ "Hauptwirkstoff von "Spice" identifiziert". University of Freiburg. 19 March 2009. Retrieved 25 July 2015.
- ↑ Auwärter V, Dresen S, Weinmann W, Müller M, Pütz M, Ferreirós N (May 2009). "'Spice' and other herbal blends: harmless incense or cannabinoid designer drugs?". Journal of Mass Spectrometry. 44 (5): 832–837. Bibcode:2009JMSp...44..832A. doi:10.1002/jms.1558. PMID 19189348.
- ↑ Uchiyama N, Kikura-Hanajiri R, Ogata J, Goda Y (May 2010). "Chemical analysis of synthetic cannabinoids as designer drugs in herbal products". Forensic Science International. 198 (1–3): 31–38. doi:10.1016/j.forsciint.2010.01.004. PMID 20117892.
- ↑ Compton DR, Johnson MR, Melvin LS, Martin BR (January 1992). "Pharmacological profile of a series of bicyclic cannabinoid analogs: classification as cannabimimetic agents". The Journal of Pharmacology and Experimental Therapeutics. 260 (1): 201–209. PMID 1309872.
- ↑ Martin BR, Compton DR, Thomas BF, Prescott WR, Little PJ, Razdan RK, et al. (November 1991). "Behavioral, biochemical, and molecular modeling evaluations of cannabinoid analogs". Pharmacology, Biochemistry, and Behavior. 40 (3): 471–478. doi:10.1016/0091-3057(91)90349-7. PMID 1666911. S2CID 19386120.
- ↑ Bosier B, Lambert D (2009). "Introduction: The Endocannabinoid System at a Glance". In Lambert DM (ed.). Cannabinoids in Nature and Medicine. Weinheim: Wiley-VCH. p. 5. ISBN 978-3-906390-56-7.
- ↑ Stern E, Lambert D (2009). "Medicinal Chemistry Endeavors around the Phytocannabinoids". In Lambert DM (ed.). Cannabinoids in Nature and Medicine. Weinheim: Wiley-VCH. p. 130. ISBN 978-3-906390-56-7.
- ↑ Uchiyama N, Kikura-Hanajiri R, Shoda T, Fukuhara K, Goda Y (2011). "[Isomeric analysis of synthetic cannabinoids detected as designer drugs]". Yakugaku Zasshi. 131 (7): 1141–1147. doi:10.1248/yakushi.131.1141. PMID 21720146.
- ↑ "Europol 2009 Annual Report on the implementation of Council Decision 2005/387/JHA" (PDF). European Monitoring Centre for Drugs and Drug Addiction (EMCDDA). European Union Agency for Law Enforcement Cooperation (Europol).
- ↑ "Europol 2012 Annual Report on the implementation of Council Decision 2005/387/JHA" (PDF). European Monitoring Centre for Drugs and Drug Addiction (EMCDDA). European Union Agency for Law Enforcement Cooperation (Europol).
- ↑ Bileck A, Ferk F, Al-Serori H, Koller VJ, Muqaku B, Haslberger A, et al. (June 2016). "Impact of a synthetic cannabinoid (CP-47,497-C8) on protein expression in human cells: evidence for induction of inflammation and DNA damage". Archives of Toxicology. 90 (6): 1369–1382. doi:10.1007/s00204-015-1569-7. PMID 26194647. S2CID 17730405.
- ↑ "UN International Drug Control Conventions". United Nations. Archived from the original on 2014-03-17. Retrieved 2017-02-15.
- ↑ "§1308.11 Schedule I." Archived from the original on 2009-08-27. Retrieved 2017-02-15.
- ↑ "Regulated Drug Rule" (PDF). Vermont DOH. 2016.
