| Salvia candelabrum | |
|---|---|
![]() | |
| Scientific classification | |
| Kingdom: | Plantae |
| Clade: | Tracheophytes |
| Clade: | Angiosperms |
| Clade: | Eudicots |
| Clade: | Asterids |
| Order: | Lamiales |
| Family: | Lamiaceae |
| Genus: | Salvia |
| Species: | S. candelabrum |
| Binomial name | |
| Salvia candelabrum | |
| Synonyms[2] | |
|
Salvia candelabriformis St.-Lag. | |
Salvia candelabrum is a species of flowering plant in the family Lamiaceae,[2] native to Spain. It is a woody-based perennial growing to 100 cm (39 in), with woolly grey-green leaves that resemble those of the common sage, S. officinalis, and emit a similar scent when crushed. In summer it bears violet-blue flowers on branching stems held high above the foliage.[3][4]
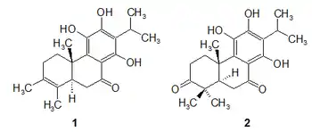
Diterpenes have been isolated from its green tissues.[5] From the aerial parts of Salvia candelabrum have been isolated β-sitosterol, nepeticin (lup-20(29)-ene-3j,lla-diol), candelabrone (11,12,14-trihydroxy-8,11,13-abietatriene-3,7-dione), the rearranged abietane diterpenoids candesalvone A (11,12,14-trihydroxy-19(4→3)-abeo-3,8,11,13-abietatetraen-7-one) and candesalvone B (11,12,14-trihydroxy-7-oxo-3,4-seco-4(18),8,11,13-abietatetraen-3-oic acid), and large amounts of ursolic and oleanolic acids. The root bark afforded 7α-acetoxyroyleanone, 12-O-methypisiferic acid and sugol.[6]

This plant has ornamental value in the garden, and has gained the Royal Horticultural Society's Award of Garden Merit.[7][8]
Etymology
Salvia comes from Latin and means 'healer'[9] and is a cognate of the word 'salve'.
Candelabrum means 'candle-tree' or 'branched like a candelabra'.[9]
References
- ↑ Buira, A.; García Murillo, P. (2017). "Salvia candelabrum". IUCN Red List of Threatened Species. 2017: e.T103535435A103535439. doi:10.2305/IUCN.UK.2017-3.RLTS.T103535435A103535439.en. Retrieved 20 November 2021.
- 1 2 "Salvia candelabrum Boiss". Plants of the World Online. The Trustees of the Royal Botanic Gardens, Kew. n.d. Retrieved September 5, 2020.
- ↑ Bourne, Val. "Salvia candelabrum: How to grow". The Telegraph. Retrieved 3 July 2013.
- ↑ "Salvia candelabrum". Germplasm Resources Information Network. Agricultural Research Service, United States Department of Agriculture. Retrieved 21 January 2018.
- ↑ Janicsak, G., et al. (2003). Diterpenes from the aerial parts of Salvia candelabrum and their protective effects against lipid peroxidation. Planta medica. 69:12 p. 1156-1159
- ↑ Mendes, et al. "DITERPENOIDS FROM Salvia candelabrum". Phytochemistry, Vol 28, No 6, pp 1685-1690, 1989
- ↑ "RHS Plant Selector - Salvia candelabrum". Retrieved 5 March 2021.
- ↑ "AGM Plants - Ornamental" (PDF). Royal Horticultural Society. July 2017. p. 95. Retrieved 14 October 2018.
- 1 2 Gledhill, David (2008). "The Names of Plants". Cambridge University Press. ISBN 9780521866453 (hardback), ISBN 9780521685535 (paperback). pp 88, 339

